Предмет: Математика,
автор: remmolga
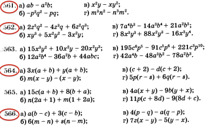
Разложить на множители с помощью вынесения за скобки общего множителя
На второй фотографии с помощью группировки
Приложения:
Ответы
Автор ответа:
0
в 1-ом примере:
ab(1-a)
pq(-pq+1)
xy(x-y)
m2n2(m-n)
в последнем все цифры после букв степени
ab(1-a)
pq(-pq+1)
xy(x-y)
m2n2(m-n)
в последнем все цифры после букв степени
Похожие вопросы
Предмет: Биология,
автор: vadim666hot
Предмет: Математика,
автор: ivanovaksenia19932
Предмет: Математика,
автор: Bonataliya
Предмет: История,
автор: lestanastya
Предмет: Математика,
автор: Аноним