Предмет: Алгебра, автор: alina00833

Помогите пожалуйста решить, очень нужно.

Приложения:

Ответы

Автор ответа: Miroslava227
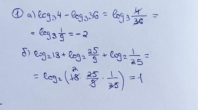
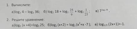
1

Ответ:

решение на фотографиях

Приложения:

alina00833: Привет, через минут 40 у меня будет кр по алгебре, вы в тот раз меня очень выручили и мне поставили 5, помогите пожалуйста ещё раз, я вот через минут 40 выложу кр) буду очень благодарна, сразу отмечу как лучший ответ) там будет тема «логарифмы»
Miroslava227: да, выкладывайте
alina00833: Выложила
alina00833: Там правда много, но пожалуйста помогите, хотя это только половина
alina00833: 2 часть тоже сейчас выложила)
alina00833: А1,А2,А3 я уже сделала
alina00833: Помогите А4 и А5
alina00833: Вы можете часть 2 решить?
alina00833: ??
alina00833: Мне срочно нужно( пожалуйста помогите
Похожие вопросы
Предмет: Математика, автор: маша3192
Предмет: История, автор: Анна20022006