Предмет: Алгебра,
автор: pelageiagumenuk26
пожалуйста люди помогите дам 20 баллов очень срочно пожалуйста
если вы можете пришлите файл или фотографию
Приложения:
Ответы
Автор ответа:
1
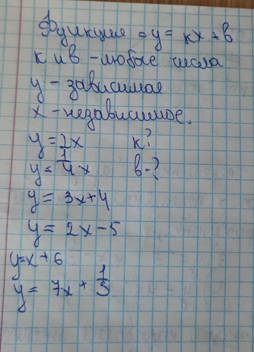
Ответ на закрепленном изображении
Приложения:
pelageiagumenuk26:
спасибо большое тебе за ответ быстрый
Похожие вопросы
Предмет: Окружающий мир,
автор: alinakhudoyan88
Предмет: Русский язык,
автор: thedenar
Предмет: Окружающий мир,
автор: виктория219
Предмет: Математика,
автор: kostamyxin06
Предмет: Математика,
автор: kazaninasvetlan