Предмет: Алгебра,
автор: tkacevaviktoria60
СРОЧНО!!!!15 БАЛЛОВ!!!
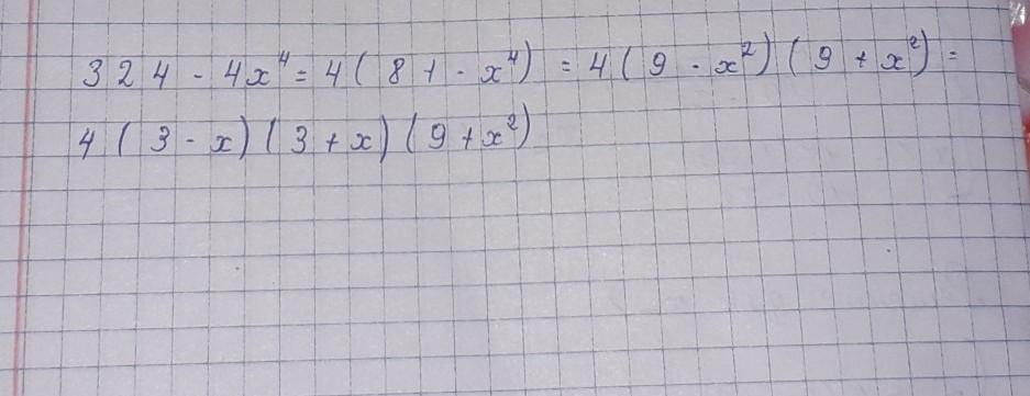
Разложите на множители: 324-4х4
Ответы
Автор ответа:
1
.......................................
Приложения:
Похожие вопросы
Предмет: Русский язык,
автор: gulyaharisova
Предмет: Русский язык,
автор: vadimkarakhimo
Предмет: Русский язык,
автор: milana3331
Предмет: Математика,
автор: hulya74
Предмет: Химия,
автор: Аноним