Предмет: Алгебра,
автор: 2797zz
помогите пожалуйста
Приложения:
Ответы
Автор ответа:
1
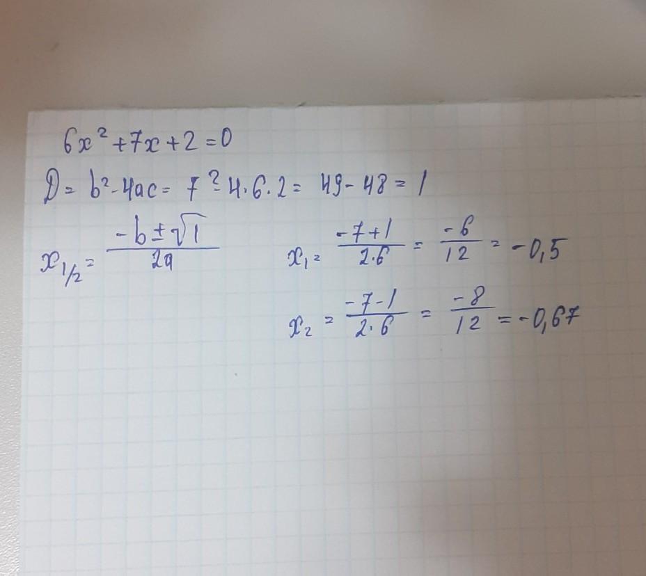
Объяснение:
в общем, корни вот, дальше я не знаю как их нужно складывать
Приложения:
2797zz:
спасибо
Похожие вопросы
Предмет: Английский язык,
автор: света110
Предмет: Русский язык,
автор: mfedorenko2014
Предмет: Русский язык,
автор: Oksana2342
Предмет: Русский язык,
автор: hulya74
Предмет: Английский язык,
автор: тдэрдлл