Предмет: Алгебра,
автор: kirillusov07082008
Умножение одночлена на многочлен. Умножение многочлена на многочлен. Разложение многочленов на множители (только правильно и решайте те кто РЕАЛЬНО знает за тему)
P.s. это самостоятельная работа
Приложения:
Zombynella:
Это контрольная?
Да
Здесь нельзя выкладывать контрольные, удалят всё.
Тогда это самостоятельная
Модераторы по внешнему виду определяют, так не получится.
Попробуйте разделить пополам и выложить отдельно, без слова Вариант.
Ответы
Автор ответа:
5
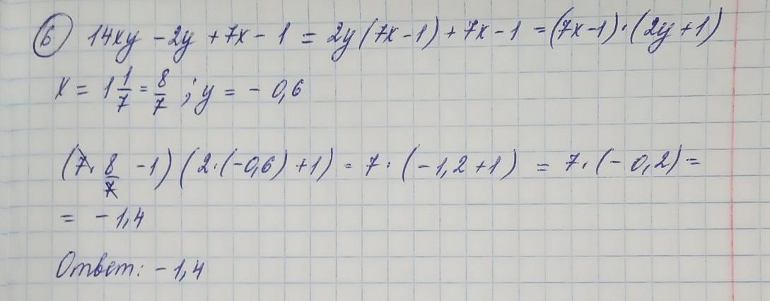
Решение прикреплено. Надеюсь, что всё понятно.
Приложения:
Похожие вопросы
Предмет: Русский язык,
автор: aneta136
Предмет: Қазақ тiлi,
автор: knagi
Предмет: Русский язык,
автор: lizayurthenko
Предмет: Математика,
автор: Джипуся
Предмет: Математика,
автор: егор1571