Предмет: Математика,
автор: Zheleznovtimofej
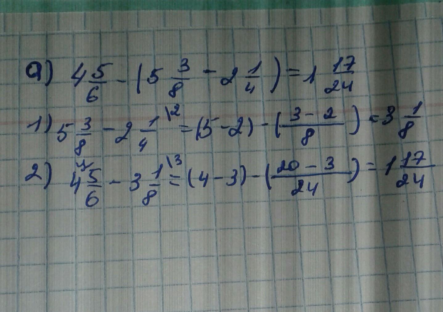
а) 4 5/6-(5 3/8-а) если а=2 1/4
б) (-2 1/12+1 5/8)-(0,95-3,3)-3 1/8 если а =2 1/4
Ответы
Автор ответа:
1
Ответ:
а)0,60............
б)3,66............
Автор ответа:
1
Ответ:
во втором примере, если от отрицательного числа отнимать положительное число, решается как чложение и ставится знак минус, например -2-2=-4. где отрицательное число плюс положительное, решается от большего отнимается меньшее и ставится знак большего числа, например -2+5=3 или -5+2=-3
Пошаговое объяснение:
можно лучший ответ
Приложения:
Похожие вопросы
Предмет: Українська мова,
автор: Аноним
Предмет: Русский язык,
автор: afonya73a1
Предмет: Русский язык,
автор: tatyana35542
Предмет: Математика,
автор: ve4no6yx9i
Предмет: Русский язык,
автор: Kml39