Предмет: Алгебра,
автор: lasmanovsergej068
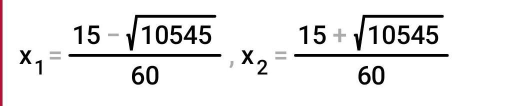
1. 2x-8/x-3 + x-3/5x+5 =3 1/2
2. 1/y+3 = y+9/4y+20
Ответы
Автор ответа:
0
Ответ:
....................
Приложения:
Похожие вопросы
Предмет: Русский язык,
автор: природознавства
Предмет: Английский язык,
автор: Satgatanas
Предмет: Русский язык,
автор: разобратьсловакасса
Предмет: Математика,
автор: Аноним
Предмет: Математика,
автор: iD78