Предмет: Алгебра,
автор: soymilkgg
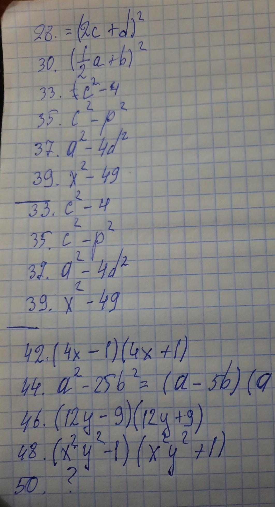
решите пожалуйста 50 БАЛОВ
Приложения:
Ответы
Автор ответа:
1
Ответ:
пожалуйста....... ......
Приложения:
soymilkgg:
спасибо большое
Автор ответа:
1
Объяснение:
в 44.а^2-25b^=(a-5b)(a+5b)
Приложения:
спасибо
Похожие вопросы
Предмет: Русский язык,
автор: элякрасотка56е46833
Предмет: Русский язык,
автор: liliaiazeva1
Предмет: Другие предметы,
автор: магашка1
Предмет: Русский язык,
автор: dfxtubyf2007
Предмет: Русский язык,
автор: EvaTopGirll