Предмет: Алгебра, автор: Аноним

ПОМОГИТЕЕЕЕЕЕЕЕЕЕЕЕ КТО ШАРИТ В АЛГЕБРЕ!

Приложения:

Ответы

Автор ответа: pinguinbird
1

Ответ:

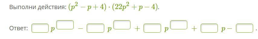
22p^{4}+p^{3}-4p^{2}-22p^{3}-p^{2}+4p+88p^{2}+4p-16=22p^{4}-21p^{3}+83p^{2}+8p-16


Аноним: Правильно, спасибо)
pinguinbird: я рад )
pinguinbird: всегда пожалуйста!
Аноним: Вы и вправду гений!
Похожие вопросы
Предмет: Русский язык, автор: заменитьдождаться
Предмет: Русский язык, автор: вероничка83