Предмет: Математика,
автор: morka61
Сократите дробь
помогите решить пожалуйста
Приложения:
Ответы
Автор ответа:
0
3^2= 9
Сокращаем 63 и 9, остается 7^n+1
В числителе получается 7^n+1, в знаменателе 7^n
morka61:
по ответу не сходится(
а какой должен получиться?
должно быть 7
Автор ответа:
1
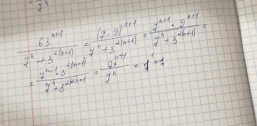
Думаю тут все понятно, разложить 63 как 7*9. 9=>3^2. Вносим эту 2 в показатель получаем, 3^2(n+1). Сокращаем, получаем 7!
Приложения:
Похожие вопросы
Предмет: Русский язык,
автор: isaeza050451
Предмет: Русский язык,
автор: suvo1983
Предмет: Русский язык,
автор: Andrei200307
Предмет: Математика,
автор: Ритка03
Предмет: Математика,
автор: ZhurovaSonya