Предмет: Алгебра, автор: milkmilk2008loi

Помогите пожалуйста! Даю 25 баллов, нужно доказать :
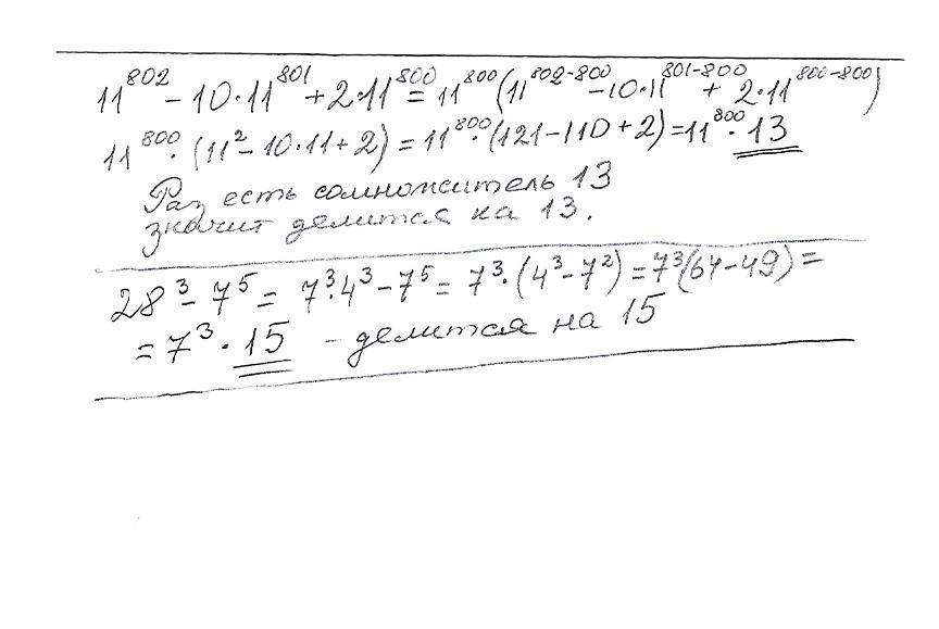
11^802-10*11^801+2*11^800 делится нацело на 13.
28^3-7^5 делится нацело на 15.

Приложения:

Ответы

Автор ответа: AlyaksandrK
0

Ответ: в описании

Объяснение:

11^{802} -10*11^{801} +2*11^{800} =11^{800}(11^{2} -10*11+2)=\\\\=11^{800}(121-110+2)=11^{800}*13

28^{3} -7^{5} =(4*7)^{3} -7^{5}=4^{3} 7^{3} -7^{5}=7^{3}(4^{3}-7^{2} )=7^{3}(64-49)=\\\\=7^{3}*15

Автор ответа: MatemaX9
1

Ответ:

Объяснение:

ответ с пояснениями в приложении.

Приложения:
Похожие вопросы
Предмет: Русский язык, автор: Sudvsyztecysyqdbygos
А1.Найдите имя прилагательное.

а) морозный; б) морозит; в) мороз; г) подмораживает; д) мороженое.

А2. Укажи прилагательное, которое с НЕ пишется раздельно:

а) совершенно (не)близкий б) ничуть (не)далекий в) (не)взрачен

г) (не)приветливый

А3. Укажи ряд, в котором все прилагательные с НЕ пишутся слитно

а) (не)голубое, (не)приветливый, (не)прочный, ничуть (не)интересный

б) (не)дешевый; (не)близок,а далек, (не)панельный, (не)удачливый

в) (не)лепый; (не)большая, а интересная; (не)скромный, вовсе (не)горячий;

г) (не)уклюжий, (не)внимательный; (не)ровный, (не)счастен;

А4. Укажи прилагательные с буквой О после шипящих и ц:

а) хорош..го б) чуж…й в) парч…вый г)плюш..вый д) пунц…вый

А5. Укажи ряд, в котором все прилагательные пишутся с Н:

а) соломе…ый, еди…ый, революцио…ый, ветря…ая;

б) песча…ый, водя…ой, огне…ый, стари…ый;

г) оловя…ый, лошади…ый, це...ый, лимо…ый;

д)ю…ый, кожа…ый, ветре…ый, серебря…ый

А6. Укажи ряд, в котором все прилагательные пишутся с суффиксом

-СК-

а) кур…ий, скольз…ий, батрац…ий, брат…ий;

б) свет…ий, одес…ий, город…кой, кубан…ий

в) бурлац…ий, француз…ий, ноябрь…ий, кавказ…ий;

г) декабрь…ий, звер…ий, швед…ий, турец…ий

А7. Укажите прилагательное, которое пишется через дефис:

а) (девяти)этажный б) (широко)плечий

в) (северо)восточный г) (средне)вековый

А8. Укажите прилагательное, имеющее полную и краткую форму

а) зимний б) веселый в) вокзальный г)местный

А9. Укажите качественное прилагательное:

а) шелковая лента б)весенняя пора

в) золотые волосы г) вчерашняя газета

А10. Укажи прилагательное, не имеющее степеней сравнения

а) сильный б) строгий в) мамин г) трудный

А11. Укажите относительные прилагательные:

а) умный человек, б) сельский магазин, в) мамин платок;

г) длинный путь; д) каменный дом.

А12. Какие прилагательные являются притяжательными:

а) лисий след; б) медвежья берлога; в) медвежья походка; г) золотое кольцо; д) золотые руки.

А13.Выберите варианты, в которых прилагательные выступают в краткой форме:

а) мальчик умен, б) девочка болтлива; в) язык могуч; г) мудрый совет; д) могучее дерево.

А14.Найдите прилагательные в простой форме сравнительной степени:

а) сильнее; б) более сильный; в) наиболее добрый; г) тоньше; д) тише всех.

А15.Признак предмета, который не может в предмете быть в большей или меньшей степени, обозначают:

а) качественные; б) относительные; в) притяжательные

А16. Указать ошибку в разборе:

а) длинная колонна – прил., н.ф. - длинный, качеств., в полн. форме, в им. п., в ед. ч., в ж. р.

б) бабушкиным кольцом – прил., н.ф. – бабушкин. притяж., в твор. п., в ед . ч., в ср. р.

в) заботливым родителям – прил., н.ф. – заботливый, качеств., в полн. форме, в д. п., во мн. ч.

г) красной рябиной – прил., н.ф. – красная, качеств., в полн. форме. в тв. п., в ед. ч., в ж. р.

А17. Допущена ошибка в образовании степеней сравнения:

а) высокий – высочайший б) плохой – плоше в) светлый – более светлее г) лёгкий – легче

А18.Определите падеж имен прилагательных.

1)в темном лесу; а) предложный падеж;

2) у большого дерева; б) дательный падеж;

3) маминой подруге; в) родительный падеж.

А19. Продолжи предложение:

А) Имена прилагательные отвечают на вопросы….

Б) Имена прилагательные изменяются по…

В) краткие прилагательные в предложении бывают чаще…

Г) Относительные прилагательные обозначают….

Д) Сравнительная степень прилагательного образуется при помощи..




Часть 2. Работа по тексту.

1. Ранним летним утром мы отправляемся на рыбалку. 2. Заря едва разгорается, и природа еще преспокойно дремлет.

3. В низине расстилается молочно-белый туман. 4. По узкой тропинке среди темно-зеленых зарослей орешника пробираемся к небольшой речонке. 5. Покрытая росой трава касается наших ног. 6. Серебряные росинки переливаются в лучах солнца.

7. Речка неширокая, но достаточно глубокая. 8. Берега ее с каждым годом все больше зарастают тростником, кустами. 9. На песчаном берегу лежат прибитые водой водоросли. 10. Волна тихо плещется о борта рыбачьей лодки. 11. Забираемся в камышовые заросли и располагаемся там с удочками.




В1. Из предложений 3-6 выпишите слово, в котором правописание Н и НН подчиняется правилу: «В отыменных прилагательных с суффиксами -АН-, -ЯН-, -ИН- пишется одна буква Н».

В2. Из предложений 10-11 выпишите слова с чередующейся гласной в корне слова.

В3. Из предложений 1-2 выпишите слово, приставку в котором можно заменить словом «очень».

В4. Из предложений 5-6 выпишите слово с непроизносимой согласной в корне.

В5. Из предложений 2-3 выпишите сложное прилагательное, обозначающее оттенок цвета.

В6. Из предложения 11 выпишите именное словосочетание.

В7. Среди предложений 1-3 найдите сложное. Напишите номер этого предложения.

В8. Из предложений 6-7 выпишите эпитет.