Предмет: Математика,
автор: im953439
Помогите срочно!!!!!! Пж
Приложения:
Ответы
Автор ответа:
0
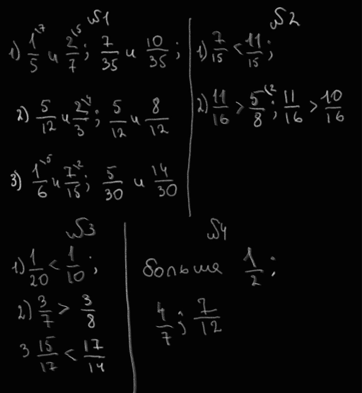
Все решение в прикрепленной картинке
Приложения:
Похожие вопросы
Предмет: Английский язык,
автор: Аноним
Предмет: Английский язык,
автор: angel0a
Предмет: Русский язык,
автор: Аноним
Предмет: Русский язык,
автор: Аноним
Предмет: История,
автор: imilgareev123