Предмет: Математика,
автор: Аноним
пж помогите мне срочно пж пж пж
Приложения:
Ответы
Автор ответа:
0
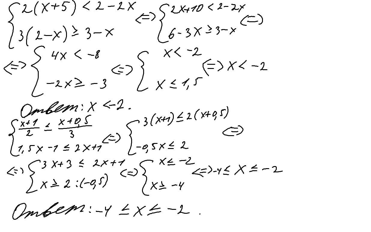
Ответ:
Пошаговое объяснение:
Приложения:
Похожие вопросы
Предмет: Русский язык,
автор: kristinababaeva
Предмет: Русский язык,
автор: samay2
Предмет: Английский язык,
автор: ponasenkovkons
Предмет: Литература,
автор: Аноним
Предмет: Алгебра,
автор: Вазген228