Предмет: Алгебра,
автор: danc
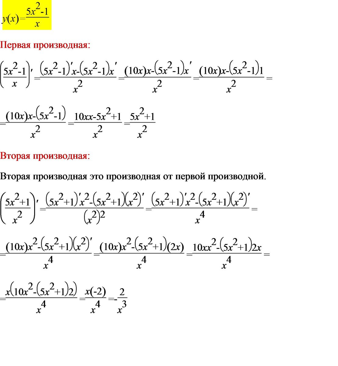
найдите производную функции 5x^2-1//x
Ответы
Автор ответа:
0
файл
----------------------------
Приложения:
Похожие вопросы
Предмет: Химия,
автор: ledikoska60
Предмет: История,
автор: cat8537
Предмет: Русский язык,
автор: kalymbet2608
Предмет: Алгебра,
автор: кубикрубик