Предмет: Математика,
автор: adinasun2408
СРОЧНО ПОМОГИТЕ
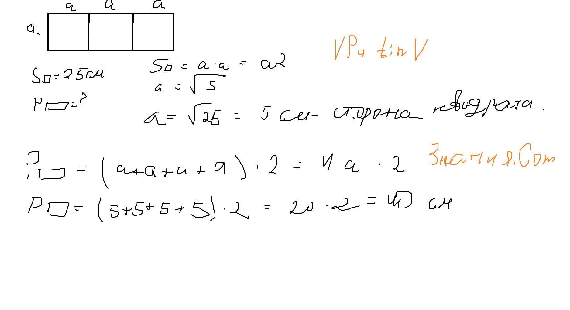
Прямоугольник состоит из трех равных квадратов .найдите площадь квадратов образуюшей прямоугольник,если периметр прямоугольника равен 40.
ответы:
а.)25см(в квадрате)
б.)35 см (в квадрате)
в.)80 см (в квадрате)
г.)400 см (в квадрате)
я дам 35 баллов! я сделаю лучшим если будет объяснение и решение)удачи жду.....)
Ответы
Автор ответа:
0
Ответ:
A) 40 см
Пошаговое объяснение:
Приложения:
adinasun2408:
спасибо за решение и ответ
только вот у кого правильный?!
Похожие вопросы
Предмет: Русский язык,
автор: arse97
Предмет: Английский язык,
автор: хамзат95
Предмет: Русский язык,
автор: Помогите322
Предмет: Химия,
автор: alpatskayadary
Предмет: Русский язык,
автор: Yuliya1511