Предмет: Математика,
автор: Аноним
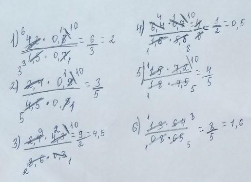
Математика 5 класс , кто добрый пожалуйста помогите, на листке в столбик решите пожалуйста.
Приложения:
Ответы
Автор ответа:
2
Ответ:
См. прикрепление
Пошаговое объяснение:
См. прикрепление
Приложения:
abriutin:
ОК?
тогда пиши ответы 1) 2 2) 0,6 3) 4,5 4) 0,5 5) 0,8 6) 1,6
всё делаем в уме. Например, расскажу про первый. 4,2 и 0,7 сокращаются как 42 и 7 - в числителе остаётся 6, а в знаменателе 1. Дальше: 0,5 и 1,5 сокращаются как 5 и 15; в числителе 1 в знаменателе 3. Получили в итоге: 6 : 3 = 2
Автор ответа:
2
Это правильно
Пошаговое объяснение:
Както так
Приложения:
Да, всё правильно. В №5 - можно 0,8.
Похожие вопросы
Предмет: Русский язык,
автор: annaisakova87
Предмет: Русский язык,
автор: svetik2015as
Предмет: Другие предметы,
автор: zukova20111974
Предмет: География,
автор: elvira20062