Предмет: Алгебра,
автор: Аноним
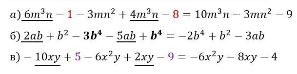
помогите пж 40 баллов отдам
Приложения:
Ответы
Автор ответа:
2
Ответ:
Объяснение:
~~~~~~~~~~~~~~~~~~~~~~~~~~~~~~~~~~~~~~~~~~~
Приложения:
abdrazakbalayim:
Если вы публикуете казахстанские задания, пожалуйста, помогите
Похожие вопросы
Предмет: Русский язык,
автор: kseniya1195
Предмет: Другие предметы,
автор: gas4
Предмет: Английский язык,
автор: АйшаШугаева
Предмет: Математика,
автор: азим21
Предмет: Литература,
автор: Kream12