Предмет: Алгебра,
автор: dinanurmanova005
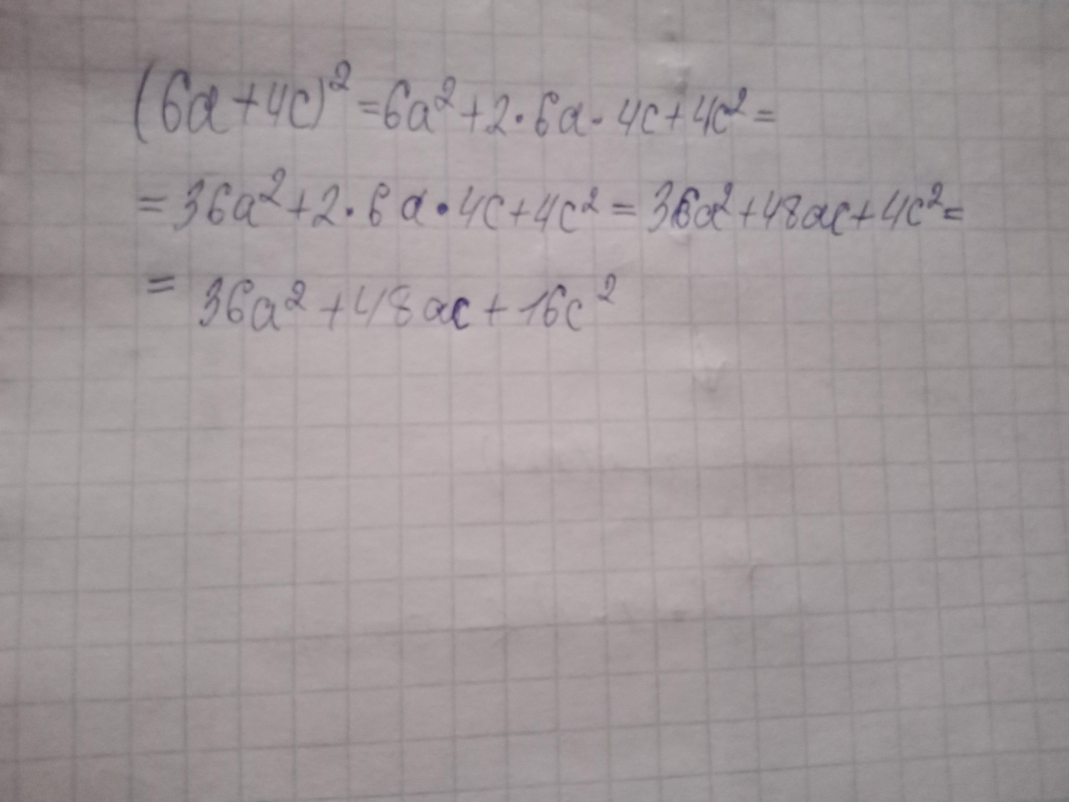
(6а+4с)²= попммооооогитеееееееееее
Ответы
Автор ответа:
1
Отметьте пожалуйста лучшим решением и поставьте сердечко
Приложения:
Похожие вопросы
Предмет: Русский язык,
автор: Александра202
Предмет: Қазақ тiлi,
автор: KATAgdhdh
Предмет: Русский язык,
автор: Anny536
Предмет: Геометрия,
автор: даниил19350
Предмет: Химия,
автор: Haterito