Предмет: Математика,
автор: Аноним
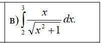
Вычислить определенный интеграл помогите 1 пример с полным решением.
Приложения:
Ответы
Автор ответа:
4
Ответ:
решение на фотографии.
Приложения:
Похожие вопросы
Предмет: Русский язык,
автор: ilyasoffvitya
Предмет: Русский язык,
автор: Вова20051984
Предмет: Русский язык,
автор: кристина162
Предмет: Английский язык,
автор: mursyakova89