Предмет: Математика,
автор: iziqwer228
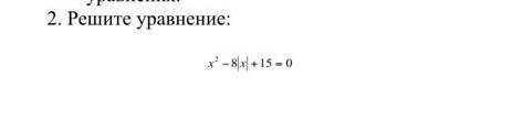
решите уровнение x²-8|x|+15=0
Приложения:
Ответы
Автор ответа:
1
Ответ:
Решение прикреплено. Надеюсь, что всё понятно.
Приложения:
iziqwer228:
спс брооо
мне брат обещял кс дать есле ответы найду
Да не за что, броо
удачи
пока
Похожие вопросы
Предмет: Українська мова,
автор: даша20022
Предмет: Русский язык,
автор: Артём123111
Предмет: Английский язык,
автор: 343839
Предмет: История,
автор: MariaOss