Предмет: Алгебра,
автор: harons656761
5n^-125=5•(n^-25)=?
помогите решить!!!
Ответы
Автор ответа:
1
Ответ:
Объяснение:
=5*(n-5)(n+5)
harons656761:
спасибо!!!
Пожалуйста
можешь еще кое-что решить?я там отправил по алгебре)
Автор ответа:
0
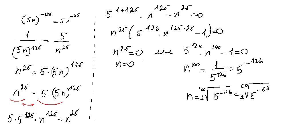
Ответ:
см. решение на фото в приложении
Объяснение:
Приложения:
Похожие вопросы
Предмет: Русский язык,
автор: ввввd
Предмет: Русский язык,
автор: kanddasha1
Предмет: Українська мова,
автор: Анастасия1986
Предмет: Физика,
автор: 1992011
Предмет: Химия,
автор: Alena123467