Предмет: Математика,
автор: mkupriyanova7750
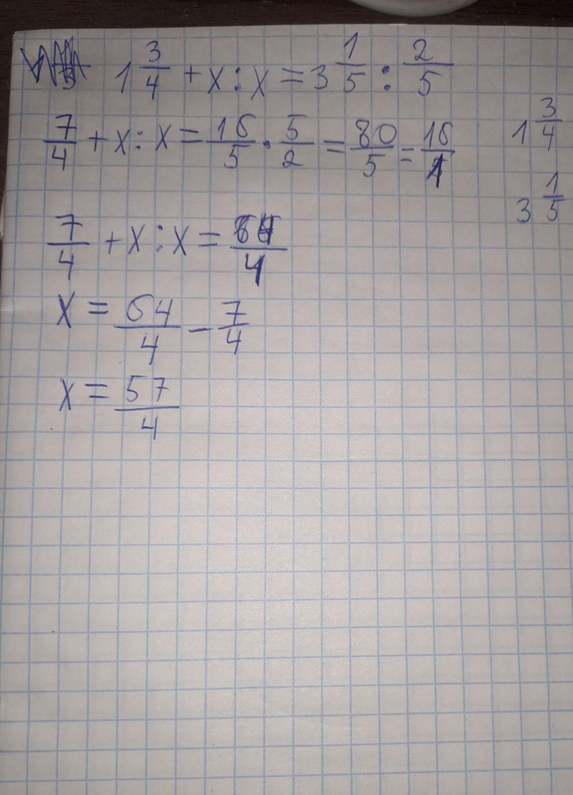
решить уравнение 1 3/4+×÷×=3 1/5÷2/5
Ответы
Автор ответа:
0
Пошаговое объяснение:
Вроде бы так. Сократить невозможно в конце
Приложения:
Похожие вопросы
Предмет: Русский язык,
автор: shararamtankonl
Предмет: Русский язык,
автор: ghufkjdlk
Предмет: Русский язык,
автор: makar996633
Предмет: Геометрия,
автор: King12478
Предмет: Биология,
автор: fastkillkoll