Предмет: Математика,
автор: mprevor
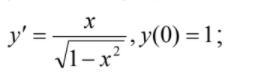
Задача Коши! Найти частные решения, удовлетворяющие указанным начальным условиям.
Приложения:
Ответы
Автор ответа:
2
Ответ:
решение на фотографии.
Приложения:
mprevor:
Cпасибочки, не первый раз выручаешь.❤ В профиле есть еще задачки!
Похожие вопросы
Предмет: Другие предметы,
автор: Madarana120
Предмет: Английский язык,
автор: genjaton
Предмет: Русский язык,
автор: hst990
Предмет: Математика,
автор: SamiraWorld7
Предмет: Математика,
автор: Houston325