Предмет: Алгебра,
автор: ulej0936
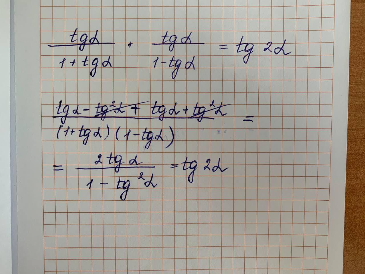
Довести тотожність /доказать тождество , помогите пожалуйста)
Приложения:
Ответы
Автор ответа:
1
Ответ:
Доказательство во вложении
Объяснение:
Приложения:
ulej0936:
Спасибо
Похожие вопросы
Предмет: Русский язык,
автор: nina32
Предмет: Русский язык,
автор: tinamango
Предмет: Русский язык,
автор: kiriysrus561
Предмет: Русский язык,
автор: ГРИНИНЗЯ
Предмет: История,
автор: evgenia20051