Предмет: Алгебра, автор: aminabaikanova57

Прошу Решите 1,3,4,5, прошу очень нужно (2 уже решила) (СОР 7 класс)

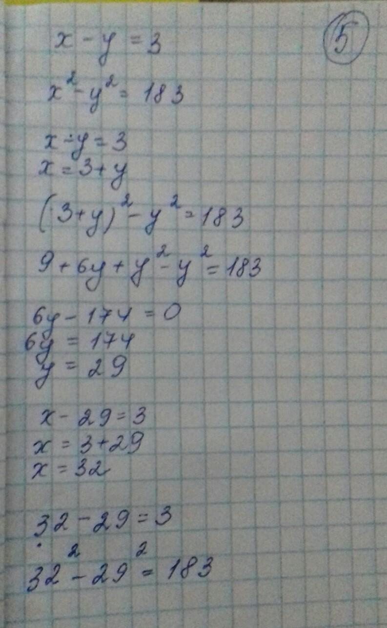
Приложения:

Ответы

Автор ответа: furmansergii79
2

пожалуйста...........

Приложения:

aminabaikanova57: спасибо
Похожие вопросы
Предмет: Другие предметы, автор: ivankova743
Предмет: Русский язык, автор: линк5
1)Найдите предложения, в которых подлежащее выражено числительным.
1. Толщина стены у основания колокольни Ивана Великого - пять метров.
2 В шестнадцатом веке мастера пристроили к колокольне звонницу.
3 Время создания храма Василия Блаженного - шестнадцатый век.
4 Шестнадцатый век - время расцвета художественных ремесел на Руси.
5 Семнадцатое столетие было последним веком древнерусского искусства.

2)Найдите предложения, в которых сказуемое выражено числительным.
1. Тысяча триста шестьдесят пятый год - год основания Чудова монастыря в Кремле.
2 Грановитую палату построили в конце пятнадцатого века итальянские архитекторы.
3 На втором этаже палаты находился огромный зал
4 Площадь зада - пятьсот квадратных метров.
5 Высота сводов - девять метров.

3)Найдите предложения, в которых определение выражено числительным.
1. Дуб ежедневно поглощает восемьдесят пять литров воды
2 Ребята вернулись домой в шестом часу вечера.
3 В музее находится скелет огромной рыбы длиной более пяти метров.
4 В тридцать пять лет эвкалипт достигает размеров двухсотлетнего дуба.
5 Атлантический океан по площади занимает второе место.
Предмет: Русский язык, автор: Egorceva
Укажите, в каком словосочетании существительное употреблено в прямом значении, а в каком в переносном значении:

цветок в горшке -

шарф из шерсти -

язык пламени –

игрушка ребёнка -

мёд слов –

Задание № 3:

Укажите пару, в которой глаголы соотносятся по смыслу не так, как в других:

Выберите вариант ответа:

вкрутить – выкрутить
влететь – вылететь
вручить – выручить
вписать – выписать
вбежать – выбежать
Задание № 4:

На французском языке пословица звучит так:

Нечего ругать кошку, когда сыр съеден.

Подберите похожую пословицу в русском языке:

Выберите вариант ответа:

Кошка мышей ловить не устанет, вор воровать не перестанет.
Кошке игрушки, а мышке слёзки.
После драки кулаками не машут.
Как аукнется, так и откликнется.
За двумя зайцами погонишься - ни одного не поймаешь.
Задание № 5:

Поставьте слова во множественное число (вписывать только одно слово):

человек -
люди

лист (бумаги) -
листы

лист (дерева) -
листья

зуб (крокодила) -
зубы

зуб (пилы) –
зубья

Задание № 6:

Распределите слова по группам, соблюдая внутри групп строгий алфавитный порядок:



слова, родственные слову «нос»:, , , , , слова, родственные слову «носить»: , , , , .
Задание № 7:

Во всех анаграммах, кроме одной, зашифровано название птиц. Расшифруйте слова. Какое слово здесь лишнее?

волига -
иволга

ницаси -
синица

гайпопу -
попугай

занас -
сазан

рокасо -
сорока

Лишнее слово (разгаданное)
сазан