Предмет: Алгебра,
автор: Kreem
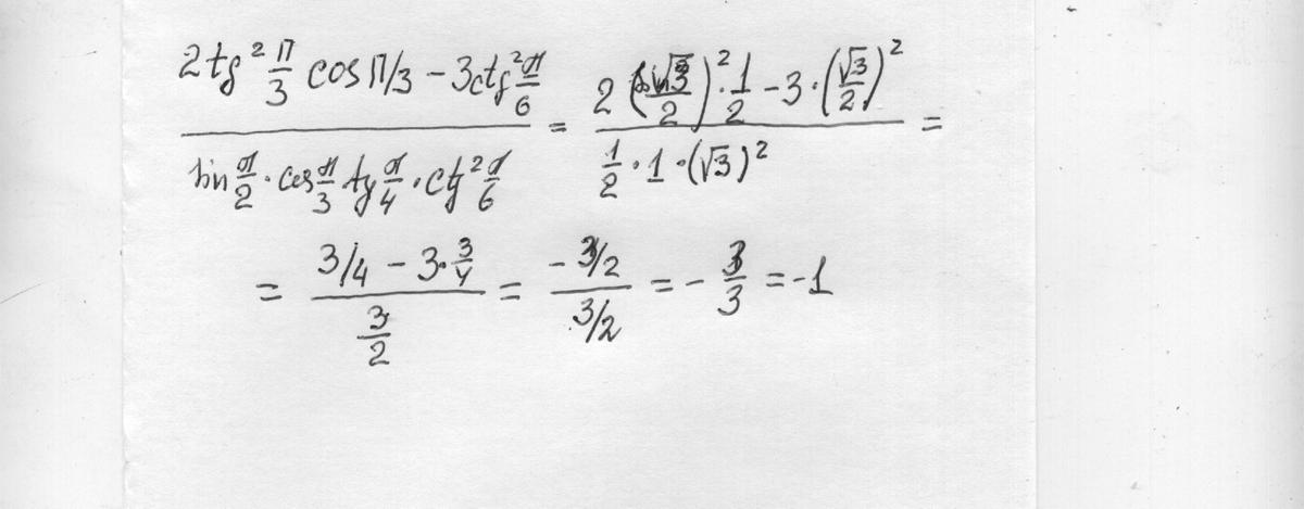
помогите, нужно найти чему равно значение выражения
Приложения:
Ответы
Автор ответа:
0
Решил и эту, можно ставить лучшее
Приложения:
Похожие вопросы
Предмет: ОБЖ,
автор: masa557788yrwty
Предмет: Математика,
автор: nkorist19
Предмет: Қазақ тiлi,
автор: Аноним
Предмет: Информатика,
автор: mitri1489
Предмет: Литература,
автор: zhenek999