Предмет: Математика,
автор: Аноним
ПОМОГИТЕЕЕ! ПОЖАЛУЙСТА
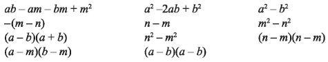
Среди данных выражений выберите равные и запишите их виде тождества:
Приложения:
Ответы
Автор ответа:
1
Ответ:
1(a-m)*(b+m)
2 -m+n
3 (а -б)2
4 -m*(a+b)
5(a2 +b2)
7(n-m)*(n+m)
8(a-b)2
9(a-b)*(a+b)
10(m-n)*(m+n)
11(n2-nm-nm+m2)
neoldboy7:
не че себе люди
норм так
русский норм не знают
и чото говорят
ну можешь подписываться мне без разницы
забей
Похожие вопросы
Предмет: Литература,
автор: leprekon12
Предмет: Математика,
автор: bulba872
Предмет: Английский язык,
автор: MerserGq
Предмет: Математика,
автор: valerabykova9
Предмет: Математика,
автор: happyyana2509p4i6wq