Предмет: Математика,
автор: Аноним
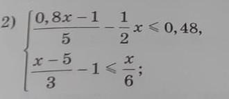
Помогите срочно даю 30баллов_Только выручите пожалуйста и лучший ответ дам
Приложения:
Ответы
Автор ответа:
0
Ответ:
x€[-2; 16]
Пошаговое объяснение:
1) Преобразовать десятичную дробь в обыкнавенную то есть:
0,8х преобразуем в 4/5.
2)Дальше 0,48 преобразем 12/25.
3)Записать все числители над знаминателем.
3) Упростить составную дробь
4) умножить обе части неравенства на 50.
5)Умножить 2 на скобку
6) привести подобные челены.
7)Делаем расстановку:
Все числа в левую часть а простые числа в правую с изменением знака.
8)Сложить числа
9)Разделить неравенство -17 и поменять знак неравенства.
И нижний пример тоже самое только числа поменялись.
Автор ответа:
0
Ответ:
Х€[-2;16]
Пошаговое объяснение:
Х€[-2;16]
Пошаговое объяснение:
Похожие вопросы
Предмет: Русский язык,
автор: arnelius990
Предмет: Геометрия,
автор: M1s1
Предмет: Математика,
автор: mincrafter2005
Предмет: Окружающий мир,
автор: nastaburdian896
Предмет: Математика,
автор: Ареелька