Предмет: Алгебра,
автор: DaShaUwU1270
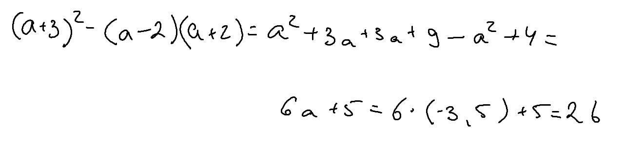
Найдите значение выражения а)(а+3) в квадрате -(а-2)(а+2) при а =-3,5
Ответы
Автор ответа:
1
Ответ:
26 (я забыла про минус прости, я перерешила, прости пожалуйста)
Объяснение:
Приложения:
DaShaUwU1270:
спасибо а можешь расписать решения пожалуйста
ок ща
можно в паинте?
да
прости(
нечего спасибо
Похожие вопросы
Предмет: Математика,
автор: Саша222333
Предмет: Математика,
автор: kanenakharkovs
Предмет: Алгебра,
автор: marinaism89
Предмет: Окружающий мир,
автор: АлисаКалинина2007
Предмет: Алгебра,
автор: Aliannus