Предмет: Алгебра,
автор: Bernale0
Срочно плз, 15 баллов
Приложения:
Ответы
Автор ответа:
1
Ответ:
Объяснение:
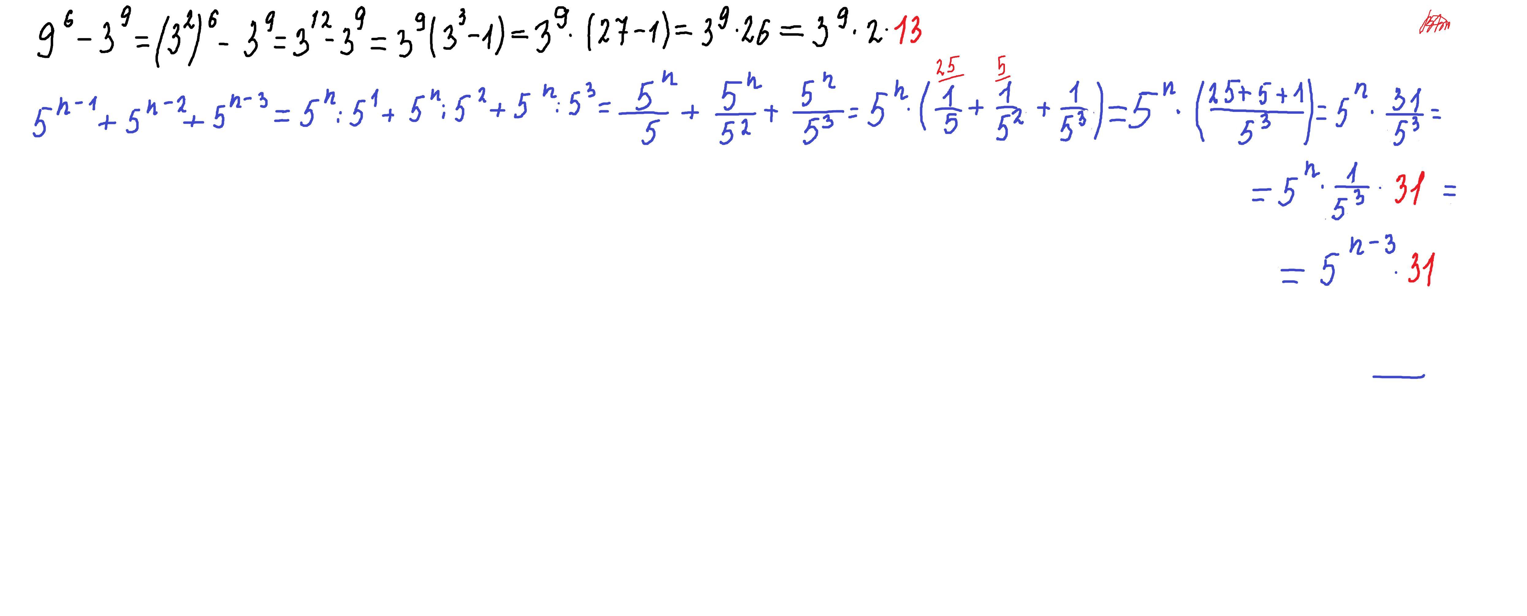
а)т.к произведение содержит множитель 13,то выражение делится на 13(т.е кратно 13)
б)т.к произведение содержит множитель 31,то выражение делится на 31(т.е кратно 31)
Приложения:
Похожие вопросы
Предмет: Алгебра,
автор: alenakot98
Предмет: Химия,
автор: Taekwondist861
Предмет: Математика,
автор: Аноним
Предмет: Алгебра,
автор: dinoprokof
Предмет: Русский язык,
автор: ihuitfyfjuhiygv