Предмет: Математика,
автор: OnlyLove
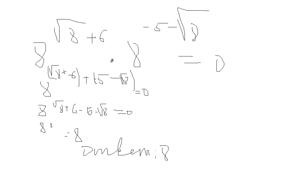
Помоги. Как решать такие примеры :
8 в степени квадратный корень из 8 + 6(без корня) умножить на 8 в степени -5-квадратный корень из 8
Ответы
Автор ответа:
0
-----------------------------------------------------
Приложения:
Автор ответа:
0
Переделал
Похожие вопросы
Предмет: Математика,
автор: nastaj021102
Предмет: Алгебра,
автор: ruslan20062507
Предмет: Қазақ тiлi,
автор: itzcute
Предмет: Литература,
автор: евалатыш
Предмет: Биология,
автор: dima1256