Предмет: Математика,
автор: gdjdbggki
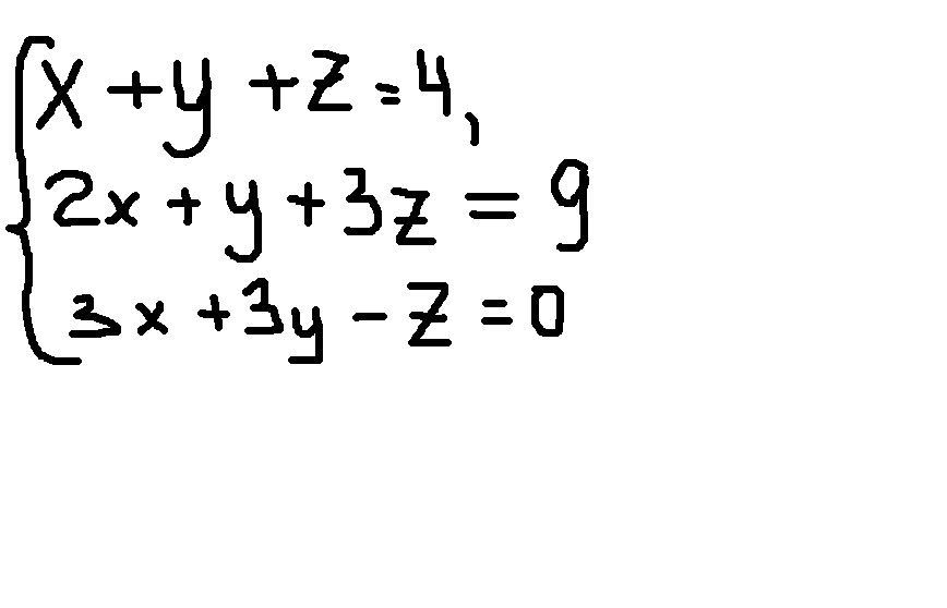
1) Решить систему линейных уравнений с помощью правила Крамера
2) Решить эту же систему методом обратной матрицы
Приложения:
Ответы
Автор ответа:
0
методом Крамера.
вот:
вот:
Приложения:
Похожие вопросы
Предмет: Русский язык,
автор: Аноним
Предмет: История,
автор: almag4ik
Предмет: Алгебра,
автор: bkatrinev6113
Предмет: Математика,
автор: ABCs
Предмет: Химия,
автор: Васюта