Предмет: Алгебра,
автор: vladsipatrov57
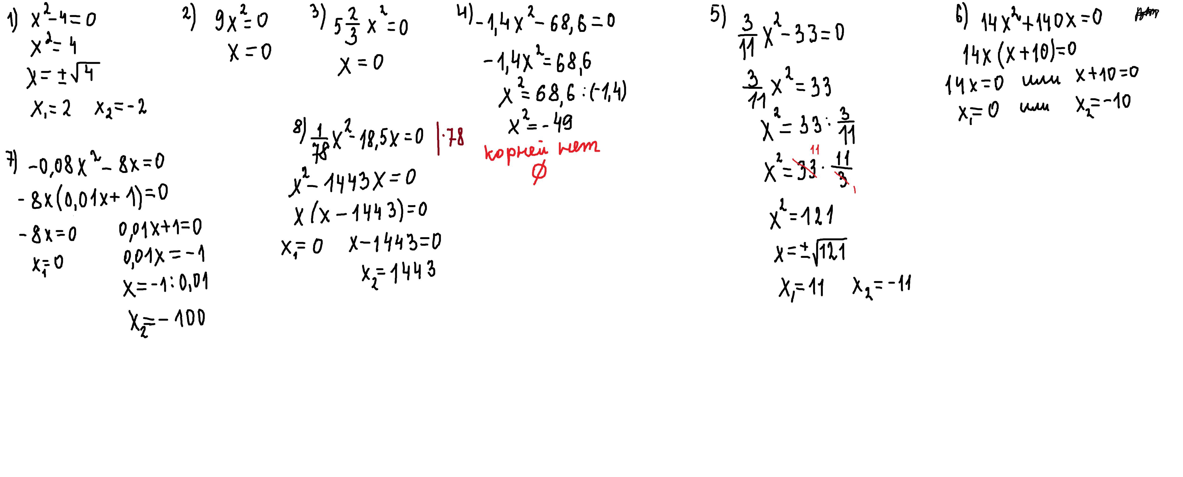
Решите неполные квадратные уравнения. Хотя бы чуть-чуть. Вроде через дискриминант.
Приложения:
Ответы
Автор ответа:
1
Ответ:
Объяснение:
НЕПОЛНЫЕ квадратные уравнения не решаются через дискриминант
Приложения:
vladsipatrov57:
Спасибо вам огромное!
Ляя, я де*ил. Вместо оценки "5", поставил "1". I`m sorry
да ладно,лишь бы тебе так не ошиблись в оценке...
Похожие вопросы
Предмет: Химия,
автор: Iljushka78
Предмет: Алгебра,
автор: Jameus123
Предмет: История,
автор: Kulbit238
Предмет: Математика,
автор: никпик4
Предмет: Математика,
автор: блекли