Предмет: Математика,
автор: alzamaskina
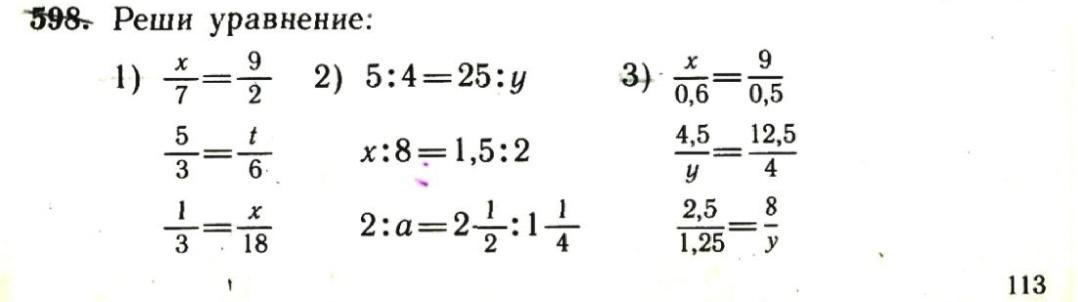
Помогите пожалуйста
Приложения:
Ответы
Автор ответа:
0
Ответ:
Пошаговое объяснение:
1) Х=24.5
24.5/7=9/2
Х=10
5/3=10/6
X=6
1/3=6/18
Похожие вопросы
Предмет: Английский язык,
автор: Аноним
Предмет: Другие предметы,
автор: Eleanor94
Предмет: Экономика,
автор: YourFairyTale
Предмет: Математика,
автор: 1nurkebaeva1
Предмет: Алгебра,
автор: wsmol