Предмет: Алгебра,
автор: vikkaunttt
Срочно решить!!!!!!! ПОЖАЛУЙСТА СРОЧНО!!!!!
Приложения:
Ответы
Автор ответа:
0
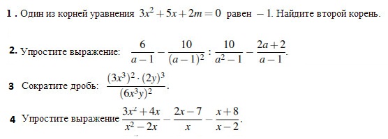
Решение на фото............................................................................
Приложения:
Похожие вопросы
Предмет: Окружающий мир,
автор: Аноним
Предмет: Биология,
автор: andrewdobrovolschii
Предмет: Математика,
автор: hilolasuleymanova60
Предмет: Алгебра,
автор: Alexandra47
Предмет: Физика,
автор: Аноним