Предмет: Алгебра,
автор: FedLess
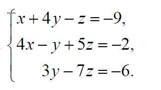
Решить систему линейных уравнений по формулам Крамера
Приложения:
Ответы
Автор ответа:
1
Ответ:
решение на фотографии.
Приложения:
FedLess:
Спасибо, а можешь у меня в профиле еще одно задание посмотреть?))
Похожие вопросы
Предмет: Алгебра,
автор: 301196maria14
Предмет: Русский язык,
автор: дима2001ник
Предмет: Математика,
автор: krasotkakristi
Предмет: История,
автор: Ученик2546
Предмет: Английский язык,
автор: prooj