Предмет: Математика,
автор: stalbek386
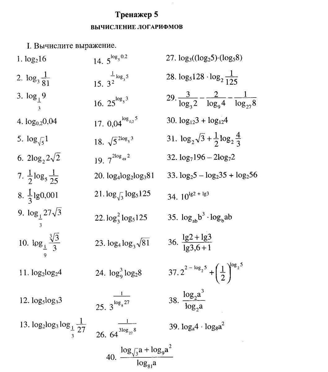
Помогите решить логарифм от 27 до 40 задания срочнооооо
Приложения:
Ответы
Автор ответа:
2
Только в 40 не была точно уверена, но другие верно
Приложения:
stalbek386:
спасибо но к сожалению поздно
Похожие вопросы
Предмет: Математика,
автор: omg4
Предмет: Русский язык,
автор: lenka780
Предмет: Математика,
автор: Timonkz
Предмет: Математика,
автор: Алликааааааа
Предмет: Математика,
автор: cindi999