Предмет: Математика,
автор: oralbay2007ansar
ПОМОГИТЕ пожалуйста
Приложения:
Ответы
Автор ответа:
1
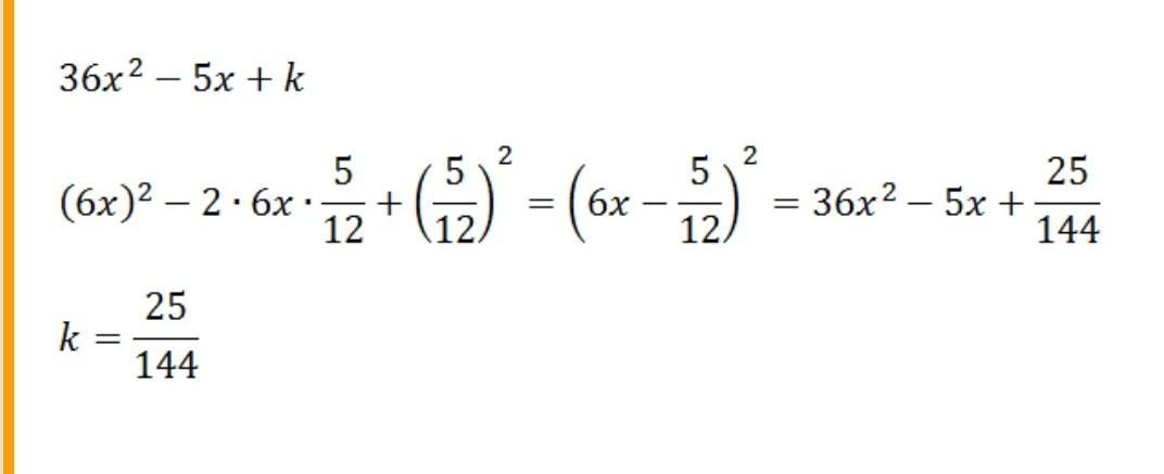
Ответ:
ловииииитеееееееееее вместо x, поставь y
Приложения:
Похожие вопросы
Предмет: Математика,
автор: MaxKrutoy
Предмет: Математика,
автор: roksana17032005
Предмет: Математика,
автор: lAndyl
Предмет: Математика,
автор: nikolaenkov07