Предмет: Математика,
автор: danilaserazhim
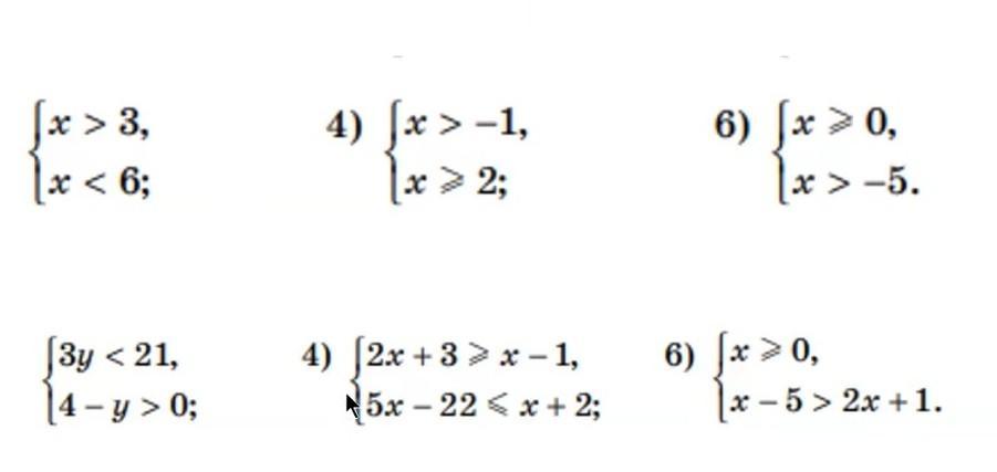
Решите пж срочно. Только мне не просто ответы нужны, а решения ещё.
Приложения:
Ответы
Автор ответа:
1
Ответ:
Пошаговое объяснение:
на фото
Приложения:
Похожие вопросы
Предмет: Геометрия,
автор: znamenskiy
Предмет: Алгебра,
автор: MESSI123451
Предмет: Русский язык,
автор: Аноним
Предмет: Математика,
автор: evloevaaraphano
Предмет: Геометрия,
автор: Leon1314