Предмет: Алгебра,
автор: karinatanbetova
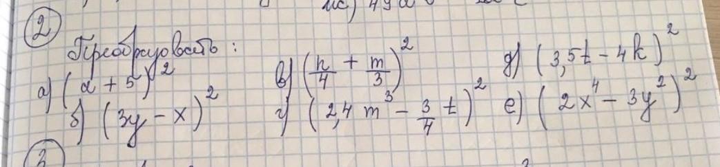
помогите пожалуйста
Приложения:
oleg228qw:
Щя фастом
Ответы
Автор ответа:
0
Ответ:
ттчьвьяьоытывтоагссгкқақ
Приложения:
Спасибо
Похожие вопросы
Предмет: Русский язык,
автор: 87757090516
Предмет: Алгебра,
автор: m1498
Предмет: Геометрия,
автор: apashkovich
Предмет: Обществознание,
автор: Настя6Экласс
Предмет: Биология,
автор: Vladochka1506