Предмет: Математика, автор: 209student

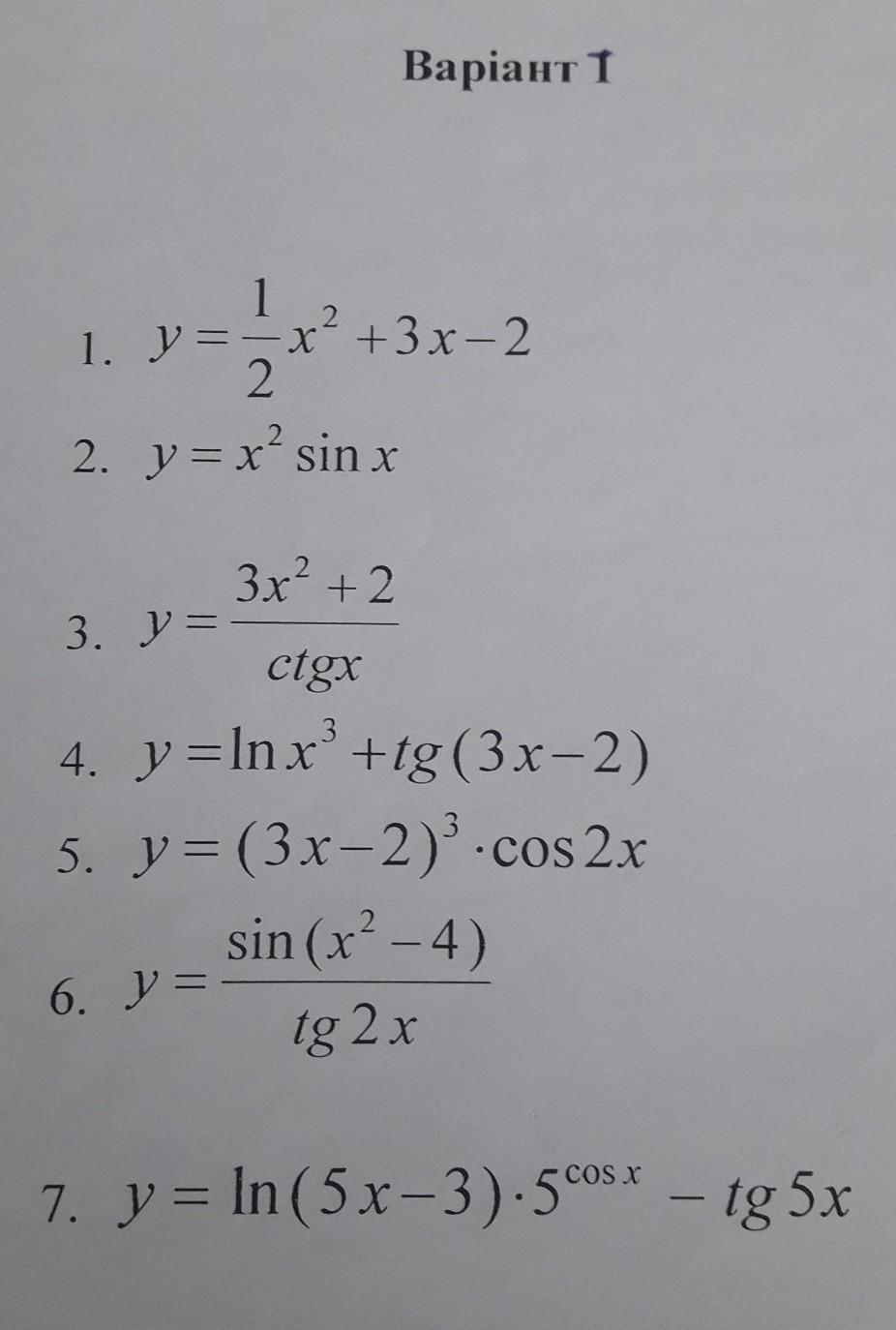
знайти похідну функції ​

Приложения:

209student: хотя бы 1-4

Ответы

Автор ответа: Miroslava227
3

Ответ:

1

y' =  \frac{1}{2}  \times 2x + 3 = x + 3 \\

2

y' = ( {x}^{2} )' \sin(x)   + (\sin(x)) ' \times  {x}^{2}  =  \\  = 2x \sin(x)  +   {x}^{2} \cos(x)

3

y' =  \frac{(3 {x}^{2}  + 2)' \times ctgx - (ctgx) '\times (3 {x}^{2}  + 2)}{ {ctg}^{2}x }  =  \\  =  \frac{6x \times ctgx +  \frac{3 {x}^{2} + 2 }{ { \sin }^{2}x } }{ {ctg}^{2}x }  =  \frac{6x}{ctgx}  +  \frac{3 {x}^{2} + 2 }{ { \cos }^{2}x }

4

y' =  \frac{1}{ {x}^{3} }  \times ( {x}^{3} ) '+  \frac{1}{ { \cos }^{2}(3x - 2) }  \times (3x - 2)' =  \\  =  \frac{ 3{x}^{2} }{ {x}^{3} }  +  \frac{3}{ { \cos }^{2}(3x - 2 )}  =  \frac{3}{x}  +  \frac{3}{ { \cos }^{2}(3x  - 2) }

5

y' = 3 {(3x - 2)}^{2}  \times 3  \times  \cos(2x)  - 2 \sin(2x)  \times  {(3x - 2)}^{3}  =  \\  =  {(3x - 2)}^{2} (9 \cos(2x)   - 2(3x - 2)\sin(2x) ) =  \\  =  {(3x - 2)}^{2} (9 \cos(2x) - (6x - 4)  \sin(2x))

6

y' = \frac{2x \cos( {x}^{2} - 4 )  \times tg2x -  \frac{2}{ { \cos}^{2} (2x)} \times  \sin( {x}^{2} - 4 )  }{ {tg}^{2}2x }  =  \\  =  \frac{2x \cos( {x}^{2} - 4 ) }{tg2x}  -  \frac{ \sin( {x}^{2} - 4 ) }{ { \sin}^{2}(2x) }

7

y' =  \frac{5}{5x - 3}  \times  {5}^{ \cos(x ) }  +  ln(5)  \times  {5}^{ \cos(x) }    \times ( -  \sin(x))   \times  ln(5x - 3)  -  \frac{5}{ \cos ^{2} (5x) }  =  \\  =  {5}^{ \cos(x) } ( \frac{5}{5x - 3}  -  ln(5(5x - 3))  \sin(x) ) -  \frac{5}{ { \cos }^{2} (5x)}


vanyakurgalin129: Помогите пожалуйста упростить два выражения https://znanija.com/task/42590051
yushka1337: спс
Похожие вопросы