Предмет: Физика,
автор: vikulya13ddfg
ПОМОГИТЕ ПОЖАЛУЙСТА! ХЕЛП
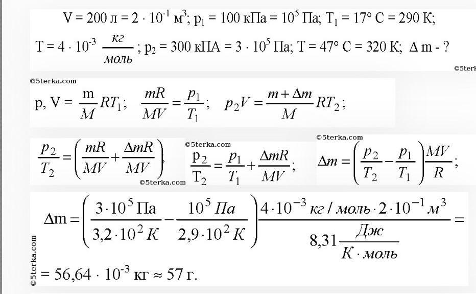
Баллон объемом 100 л содержит гелий под давлением р1 = 5 · 106 Па при температуре Т1 = 300 К. Вентиль баллона испортился и гелий начал вытекать. Когда вентиль отремонтировали, давление в баллоне оказался равным р2 = 5,1 · 106 Па, но температура повысилась до Т2 = 340 К. Найти массу гелия, которая вытекла из баллона. Молярная масса гелия М = 4 · 10-3 кг / моль.
Ответы
Автор ответа:
10
Ответ:
я думаю так надеюсь это правильно
Приложения:
vikulya13ddfg:
Спасибо тебе большое
Похожие вопросы
Предмет: Русский язык,
автор: sagareishvilita
Предмет: География,
автор: bambukdrt
Предмет: Алгебра,
автор: 1312Анастасия1997
Предмет: ОБЖ,
автор: maks1999767685
Предмет: Английский язык,
автор: Komkozavra737