Предмет: Алгебра,
автор: Аноним
ААлгебра 7 класс
1-12
Приложения:
Ответы
Автор ответа:
0
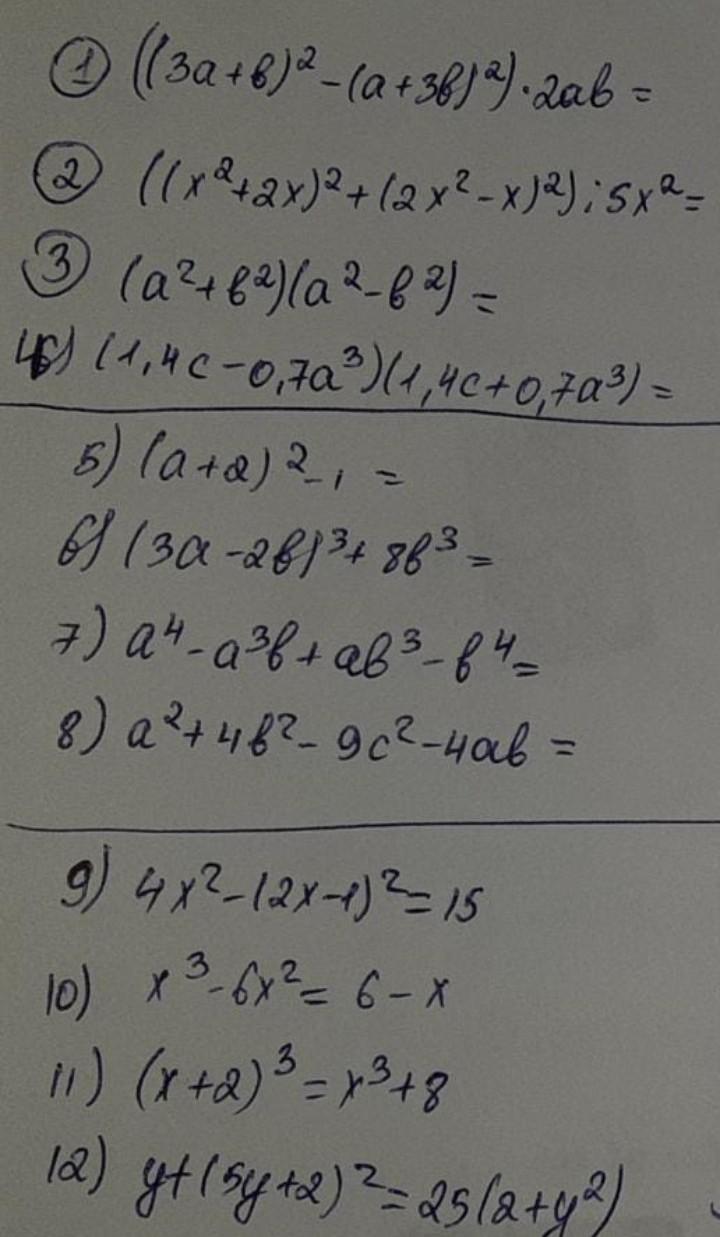
Ответ:
1) 16а³b-16ab³
2) x⁶+x⁴
3) a⁴-b⁴
4) 1,96с²-0,49а⁶
5) (2а-1)×(2а+1)
6) 9а×(3а²-6аb+4b²)
7) (a-b)×(a+b)×(a²-ab+b²)
8) (a-2b-3c)×(a-2b+3c)
9) x=4
10) x=6
11) x=-2, x=0
12) y=2,190476
Похожие вопросы
Предмет: Алгебра,
автор: jethbzhj
Предмет: Алгебра,
автор: 1312Анастасия1997
Предмет: Биология,
автор: Janara11
Предмет: География,
автор: alinkaaa3
Предмет: Математика,
автор: Kyrmacheva1938