Предмет: Алгебра, автор: vikalutchin

Помогите пожалуста я немогу решить

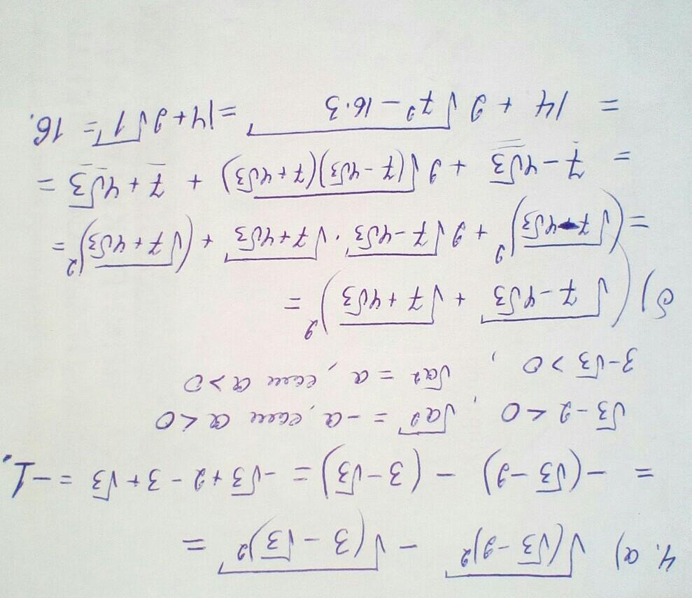
Приложения:

Ответы

Автор ответа: ivankorobejnikov21
1

Ответ:

.......................................................

Приложения:
Похожие вопросы
Предмет: Английский язык, автор: swallow21
Переведите текст:
SECONDARY SCHOOL EXAMINATIONS

There is no national leaving examination in England and Wales, but secondary school pupils (and candidates not attending school) may take the General Certificate of Education (GCE) or the Certificate of Secondary Education (CSE).

The both examinations are on a single subject and not a grouped subject basis (i.e. no subject is obligatory and individual subjects may be taken at different times).

The General Certificate of Education is an academic type of examination, taken in two separate stages: Ordinary level (O level) and Advanced level (A level). Pupils normally take O level at the end of their fifth year in a secondary school, that is, at about the age of 16. They take A level after two years in the sixth form, that is, about the age of 18. Bui candidates may enter for different subjects at different dates, and may enter for the same subject more than once. Passes in individual subjects at A level are graded and these grades are used by universities in deciding whether to admit students. Candidates who fail a subject at A level may, if their marks are good enough, be awarded an O level pass in that subject.
The Certificate of Secondary Education is an examination for less academic pupils, and usually taken at 15—16. The CSE, instituted in 1965, is designed for pupils who have completed five years’ secondary education but who are not taking the GCE; it is controlled by teachers serving in the schools providing candidates. The highest grade of pass in the CSE is intended to be of the same standards as a pass in the GCE 0 level.
Предмет: Математика, автор: phal