Предмет: Математика,
автор: mradcAR
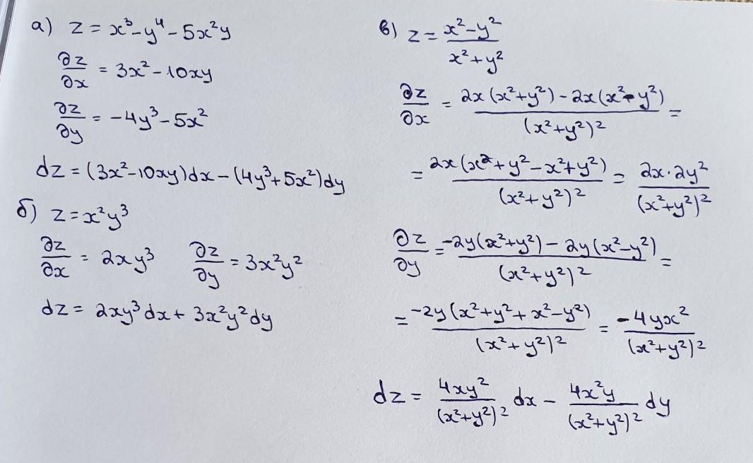
Найти полные дифференциалы следующих функций. (а, б, в)
Приложения:
Ответы
Автор ответа:
3
Ответ:
решение на фотографиях
Приложения:
Miroslava227:
случайно сделала последние три буквы)
ничего страшного)
Похожие вопросы
Предмет: Математика,
автор: lercaru
Предмет: Геометрия,
автор: МаксимФеофан
Предмет: Алгебра,
автор: irinapav1982
Предмет: Обществознание,
автор: SKSA
Предмет: Математика,
автор: Аноним