Предмет: Математика,
автор: fesas23895
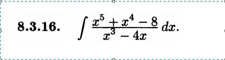
помогите с задачей, в развернутом виде пожалуйстааа))
Мирослава кстати топ.
Приложения:
Ответы
Автор ответа:
0
Ответ:
Пошаговое объяснение: лох
Автор ответа:
0
Ответ:
)
Пошаговое объяснение:
Похожие вопросы
Предмет: Физика,
автор: someonez
Предмет: Химия,
автор: Каскадэро
Предмет: Русский язык,
автор: Аноним
Предмет: Математика,
автор: Minakova6718