Предмет: Алгебра,
автор: Аноним
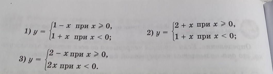
Постройте график функции y=f(x).Выясните является ли функция непрерывной в точке x0=0
Приложения:
NNNLLL54:
написано 1-4 классы ? как объяснять ? с точки зрения 1-4 класса ?
Ответы
Автор ответа:
14
Объяснение:
кабачёк1111111
Приложения:
А есть 3 и2
Ответ на 2 и 3?
Похожие вопросы
Предмет: Русский язык,
автор: Валерёнок05
Предмет: Литература,
автор: akhmroman
Предмет: Математика,
автор: vlad28041999
Предмет: Математика,
автор: svetaaa77
Предмет: Другие предметы,
автор: Li1Mon