Предмет: Математика,
автор: armansaduov55
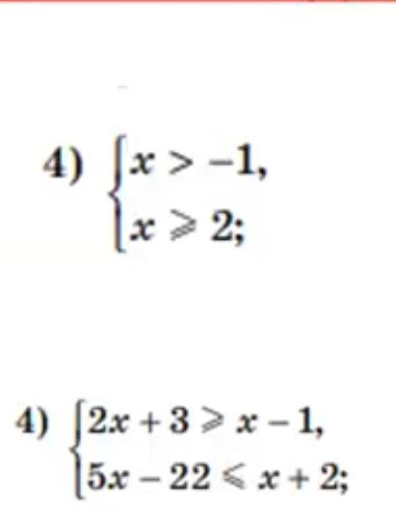
помогите пожалуйста даю 10 баллов
Приложения:
armansaduov55:
помогите пожалуйста
Ответы
Автор ответа:
1
Отве на фото:
..................
Приложения:
Похожие вопросы
Предмет: Русский язык,
автор: aygunsultanova71
Предмет: Математика,
автор: andrushalolo
Предмет: Математика,
автор: Sashaalimov
Предмет: Английский язык,
автор: Вишенка140718
Предмет: Русский язык,
автор: 909011