Предмет: Физика, автор: ismatovaguzal

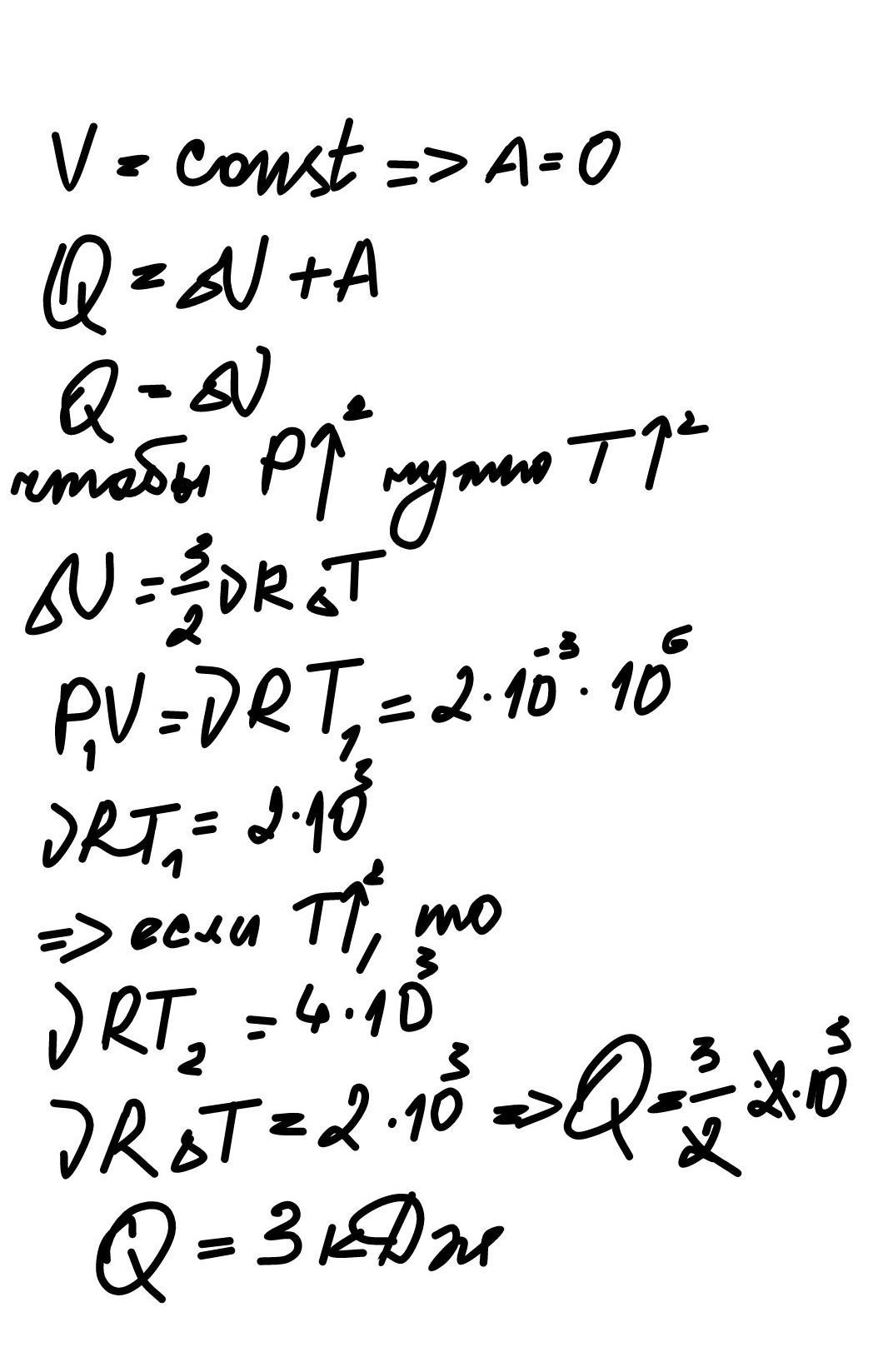
Кислород объемом 2 л находится под давлением 1 МПа. Определить, какое количество

теплоты необходимо сообщить газу, чтобы увеличить его давление вдвое в результате

изохорного процесса. ​

Ответы

Автор ответа: cactus951
1

Ответ:

3 кДж

Объяснение:

прикрепляю решение картинкой, спрашивай, если что-то непонятно

Приложения:
Похожие вопросы
Предмет: Алгебра, автор: ivan28051995
Предмет: История, автор: Ева090903
определите последовательность событий, приведших к отмене крепостного права и их датировку
1. Обнародование Манифеста об освобождении помещичьих крестьян из крепостной зависимости и Положений.
2. Образование по инициативе императора Секретного комитета «для обсуждения мер по устройству быта помещичьих крестьян».
3. Первое официальное заявление о необходимости отмены кре¬постного права.
4. Подписание Александром II Манифеста об освобождении поме¬щичьих крестьян из крепостной зависимости и Положения о крестьянах, вышедших из крепостной зависимости.
5. Преобразование Секретного комитета в Главный комитет. Начало гласного обсуждения проектов освобождения крестьян.
6. Смерть Николая I. Восшествие на престол Александра П.
7. Создание Редакционных комиссий для составления проекта закона об освобождении крестьян.
8. Составление Редакционными комиссиями проекта положения о крестьянах, освобождаемых от крепостной зависимости.